Topics in Algebra has been my favourite book to learn group theory from so far. So, I thought I would upload solutions to exercises that I do here!
Normal Subgroups and Quotient Groups
The section I have just looked at is Chapter 2, section 6, ‘Normal Subgroups and Quotient Groups‘. I give a brief overview of what is covered.
If we have a group , a subgroup is said to be a normal subgroup if for all .
It follows easily that is a normal subgroup of iff for all
From this we obtain nice results about the properties of cosets of normal subgroups. Indeed, one of the things that make them special is that every right coset is a left coset. There is a nice example of this given with We also find that a subgroup of is a normal subgroups iff the product of two right cosets of in is again a right coset of in . We have, for all
Then we see how this means that , denoting the set of right cosets of in , forms a group, called the quotient group which has order .
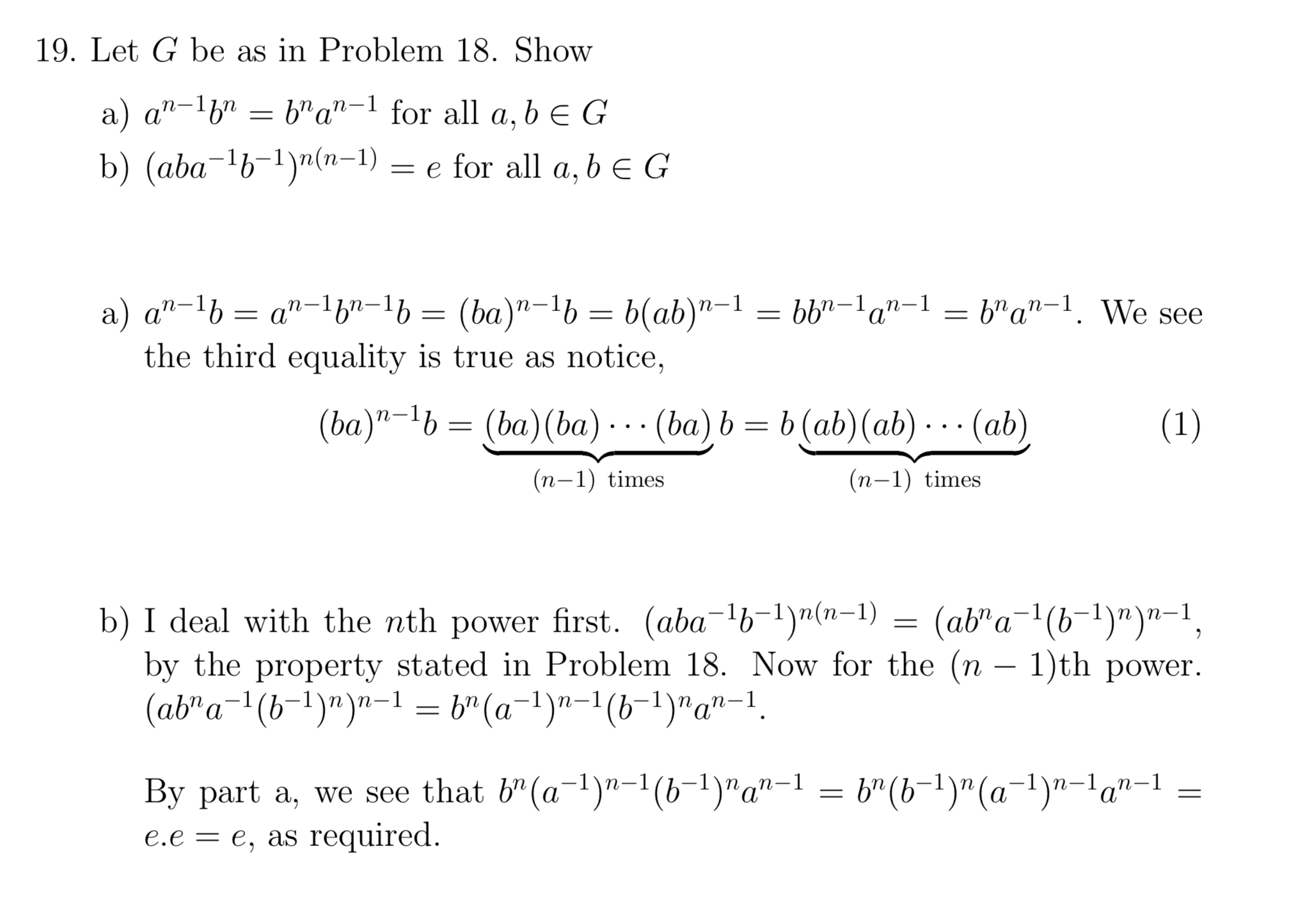
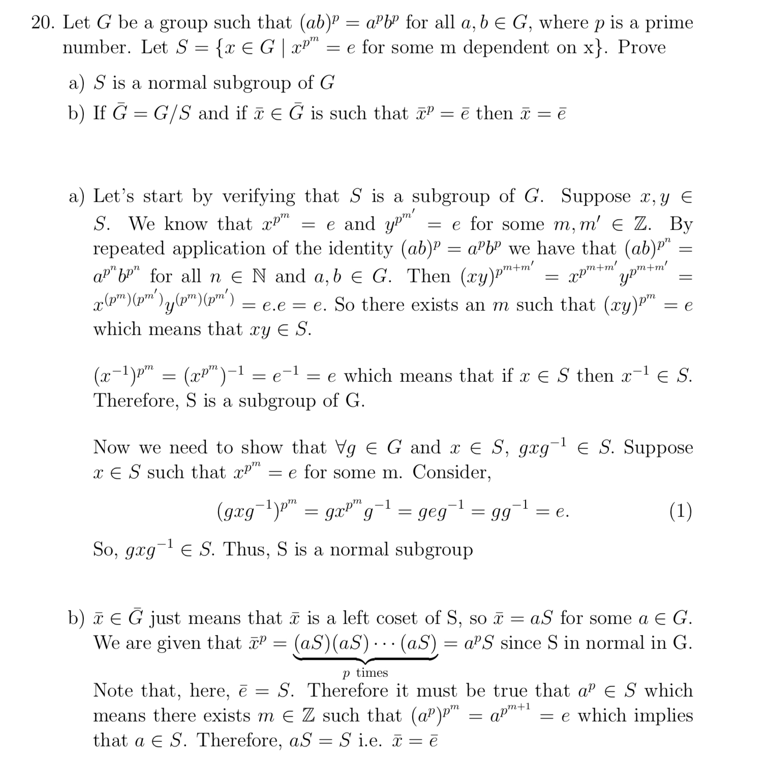
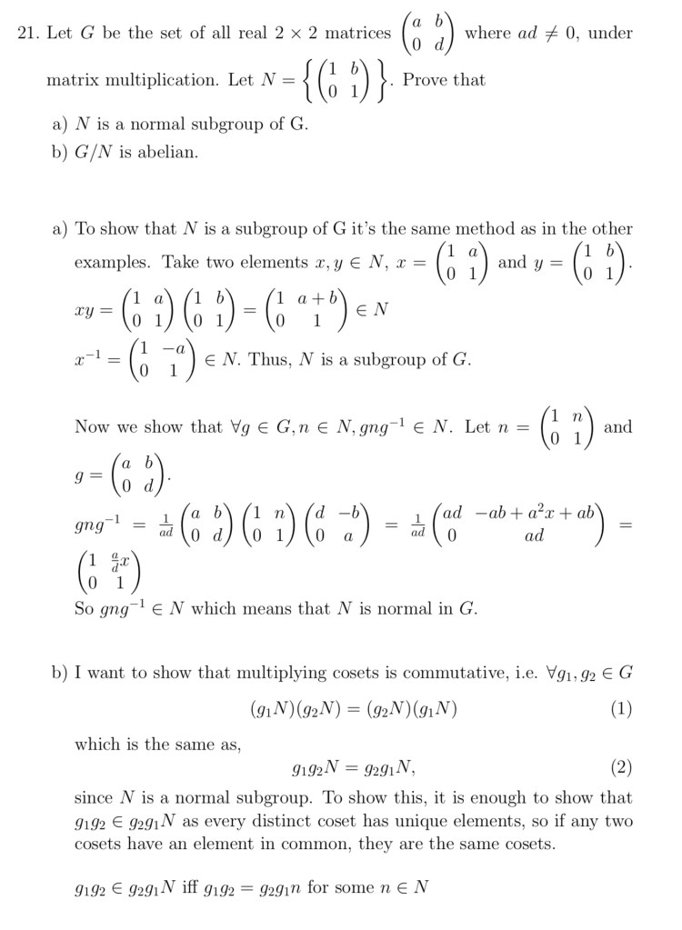
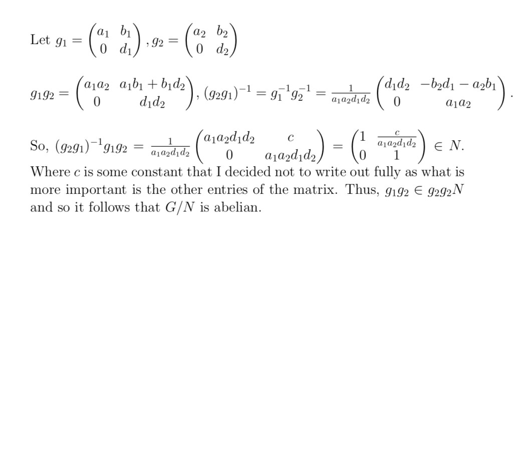
I will show here questions 18,19 ,20 and 21 from the exercise section as I think the first three are nice together and the last has us prove a property about the quotient group.

So it seems that the property that there is an integer such that means that these two sets are subgroups. The fact that they are normal is not a result of that property.

This is just some fiddly manipulation using facts that we already have known/used. Let me know if it would be better to include more detail!

For Problem 20, I am wondering why I haven’t explicitly used the fact that p is prime so I must be missing something…



Leave a comment